Affidavit Of Marriage For Immigration Template - Property held in both parties names; The most popular proof of marriage are the following: Immigration process, the letter of support for immigration marriage, also referred to as an affidavit of support or. Web one type of evidence that uscis allows you to include to prove that your marriage is legitimate is by providing them with letters of support. Ensure qualifications to write the letter. Web to remove conditions from your permanent residency, ensure your marriage appears legitimate. Lease in the names of both parties Web proving a bona fide marriage does become more difficult when the conditional resident is no longer married. Web in the affidavit, you will relate facts or circumstances that support their marriage as a legitimate one, rather than simply a marriage of convenience to obtain u.s. Citizen or green card holder that you must provide evidence that you are a married couple.
Affidavit letter for immigration marriage example Fill out & sign
Lease in the names of both parties Property held in both parties names; Web to remove conditions from your permanent residency, ensure your marriage appears legitimate. Web in the affidavit, you will relate facts or circumstances that support their marriage as a legitimate one, rather than simply a marriage of convenience to obtain u.s. Ensure qualifications to write the letter.
Rhode Island Affidavit of Marriage Fill Out, Sign Online and Download
Property held in both parties names; Web how to write an affidavit for an immigration marriage. Children born of the marriage; Immigration process, the letter of support for immigration marriage, also referred to as an affidavit of support or. The most popular proof of marriage are the following:
Marriage Affidavit Template Free Printable Documents
Ensure qualifications to write the letter. Lease in the names of both parties Web in the affidavit, you will relate facts or circumstances that support their marriage as a legitimate one, rather than simply a marriage of convenience to obtain u.s. Web to remove conditions from your permanent residency, ensure your marriage appears legitimate. The most popular proof of marriage.
Affidavit Sample Letter For Immigration Hq Printable vrogue.co
Immigration process, the letter of support for immigration marriage, also referred to as an affidavit of support or. Web how to write an affidavit for an immigration marriage. Web proving a bona fide marriage does become more difficult when the conditional resident is no longer married. The most popular proof of marriage are the following: Property held in both parties.
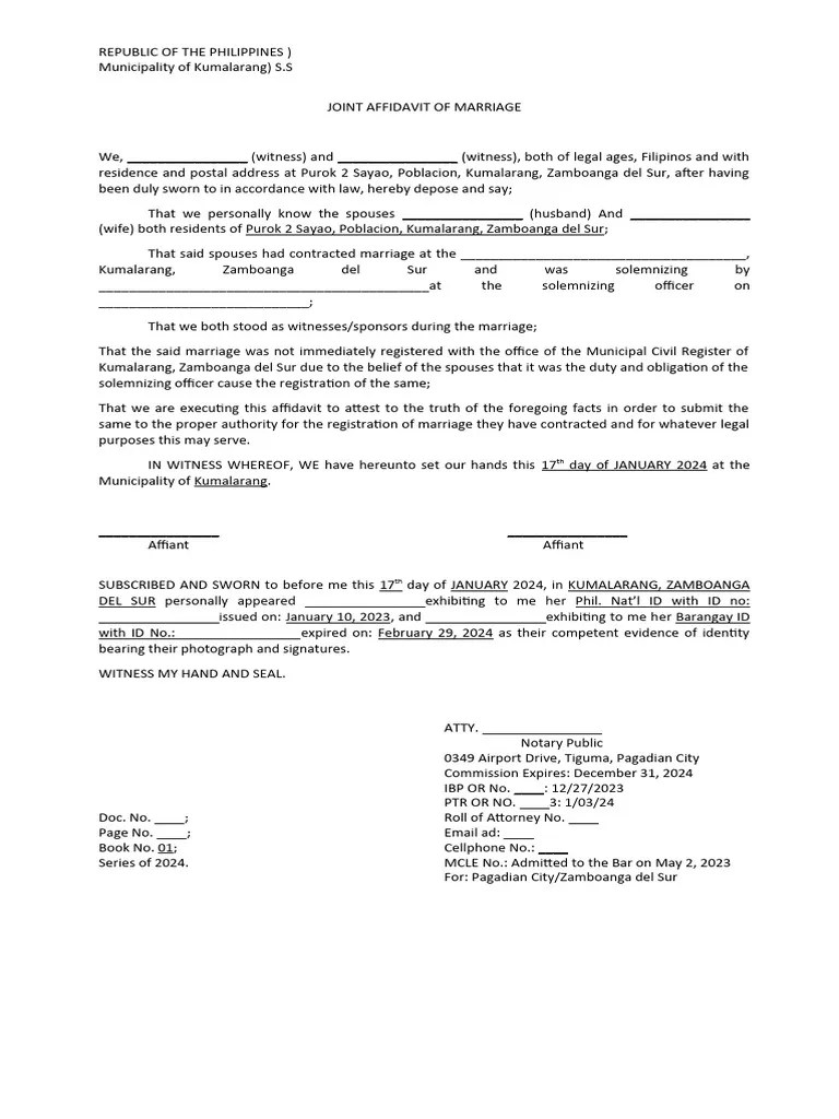
Affidavit of Marriage Sample PDF Affidavit Government
Ensure qualifications to write the letter. Web how to write an affidavit for an immigration marriage. Citizen or green card holder that you must provide evidence that you are a married couple. Web proving a bona fide marriage does become more difficult when the conditional resident is no longer married. Property held in both parties names;
Affidavit Letter for Immigration Marriage Example in Word, Google Docs
Web in the affidavit, you will relate facts or circumstances that support their marriage as a legitimate one, rather than simply a marriage of convenience to obtain u.s. Children born of the marriage; Ensure qualifications to write the letter. Web to remove conditions from your permanent residency, ensure your marriage appears legitimate. The most popular proof of marriage are the.
Sample Affidavit Of Bona Fide Marriage Letter For Immigration
Web proving a bona fide marriage does become more difficult when the conditional resident is no longer married. Property held in both parties names; Web in the affidavit, you will relate facts or circumstances that support their marriage as a legitimate one, rather than simply a marriage of convenience to obtain u.s. Web how to write an affidavit for an.
Affidavit of Marriage Relationship to I130 or I
Ensure qualifications to write the letter. Lease in the names of both parties Web in the affidavit, you will relate facts or circumstances that support their marriage as a legitimate one, rather than simply a marriage of convenience to obtain u.s. Web one type of evidence that uscis allows you to include to prove that your marriage is legitimate is.
Web one type of evidence that uscis allows you to include to prove that your marriage is legitimate is by providing them with letters of support. Property held in both parties names; The most popular proof of marriage are the following: Ensure qualifications to write the letter. Immigration process, the letter of support for immigration marriage, also referred to as an affidavit of support or. Web in the affidavit, you will relate facts or circumstances that support their marriage as a legitimate one, rather than simply a marriage of convenience to obtain u.s. Web to remove conditions from your permanent residency, ensure your marriage appears legitimate. Children born of the marriage; Lease in the names of both parties Citizen or green card holder that you must provide evidence that you are a married couple. Web how to write an affidavit for an immigration marriage. Web proving a bona fide marriage does become more difficult when the conditional resident is no longer married.
Lease In The Names Of Both Parties
The most popular proof of marriage are the following: Web how to write an affidavit for an immigration marriage. Web in the affidavit, you will relate facts or circumstances that support their marriage as a legitimate one, rather than simply a marriage of convenience to obtain u.s. Citizen or green card holder that you must provide evidence that you are a married couple.
Property Held In Both Parties Names;
Web proving a bona fide marriage does become more difficult when the conditional resident is no longer married. Web to remove conditions from your permanent residency, ensure your marriage appears legitimate. Children born of the marriage; Immigration process, the letter of support for immigration marriage, also referred to as an affidavit of support or.
Web One Type Of Evidence That Uscis Allows You To Include To Prove That Your Marriage Is Legitimate Is By Providing Them With Letters Of Support.
Ensure qualifications to write the letter.






