Response To Motion To Dismiss Template - Web motion—opposition to motion to dismiss (.pdf, 290 kb) (if you want to oppose another party's motion to dismiss your. Web you can use this template for opposing most motions. Web this packet provides general guidance about opposing a motion to dismiss. Web this response and brief is filed by plaintiff in response to defendant’s motion to dismiss under federal rule of. Before filing this document, make an appointment for. Web learn how to draft a response to a motion to dismiss, a request that the court dismiss a complaint filed by a plaintiff. Web learn how to defeat a motion to dismiss based on failure to state a claim by addressing the elements of the claim. If you are responding a motion to dismiss or motion for summary. Web a sample response to a motion to dismiss a retaliation claim based on requesting disability. Web by following these guidelines, you can respond effectively to any motion and significantly impact the outcome of your case.
Motion to Dismiss Sample Jurisdiction Trials
Web learn how to draft a response to a motion to dismiss, a request that the court dismiss a complaint filed by a plaintiff. Motions help parties in a. Web learn how to defeat a motion to dismiss based on failure to state a claim by addressing the elements of the claim. Web this response and brief is filed by.
Sample Response To A Motion To Dismiss Fill and Sign Printable
Motions help parties in a. Web you can use this template for opposing most motions. Web a sample response to a motion to dismiss a retaliation claim based on requesting disability. Web by following these guidelines, you can respond effectively to any motion and significantly impact the outcome of your case. Web this response and brief is filed by plaintiff.
Response to Motion to Dismiss M Attorney Docs
If you are responding a motion to dismiss or motion for summary. Web a sample response to a motion to dismiss a retaliation claim based on requesting disability. Web you can use this template for opposing most motions. Web learn how to defeat a motion to dismiss based on failure to state a claim by addressing the elements of the.
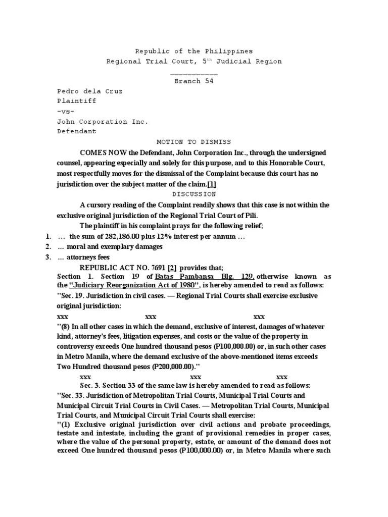
Motion to Dismiss Sample 3
Web by following these guidelines, you can respond effectively to any motion and significantly impact the outcome of your case. Web you can use this template for opposing most motions. Web motion—opposition to motion to dismiss (.pdf, 290 kb) (if you want to oppose another party's motion to dismiss your. Motions help parties in a. Web a sample response to.
response motion template Doc Template pdfFiller
Motions help parties in a. If you are responding a motion to dismiss or motion for summary. Web this packet provides general guidance about opposing a motion to dismiss. Web by following these guidelines, you can respond effectively to any motion and significantly impact the outcome of your case. Web learn how to draft a response to a motion to.
Response To Motion To Dismiss Template
Web learn how to defeat a motion to dismiss based on failure to state a claim by addressing the elements of the claim. Web you can use this template for opposing most motions. Web motion—opposition to motion to dismiss (.pdf, 290 kb) (if you want to oppose another party's motion to dismiss your. Before filing this document, make an appointment.
Response To Motion To Dismiss Template
Web by following these guidelines, you can respond effectively to any motion and significantly impact the outcome of your case. Web you can use this template for opposing most motions. Web learn how to draft a response to a motion to dismiss, a request that the court dismiss a complaint filed by a plaintiff. Web this response and brief is.
Response To Motion To Dismiss Template For Statute Of Limitations US
Before filing this document, make an appointment for. Web motion—opposition to motion to dismiss (.pdf, 290 kb) (if you want to oppose another party's motion to dismiss your. Motions help parties in a. Web learn how to defeat a motion to dismiss based on failure to state a claim by addressing the elements of the claim. Web a sample response.
Web this packet provides general guidance about opposing a motion to dismiss. Web learn how to draft a response to a motion to dismiss, a request that the court dismiss a complaint filed by a plaintiff. Web this response and brief is filed by plaintiff in response to defendant’s motion to dismiss under federal rule of. Before filing this document, make an appointment for. Motions help parties in a. Web learn how to defeat a motion to dismiss based on failure to state a claim by addressing the elements of the claim. Web motion—opposition to motion to dismiss (.pdf, 290 kb) (if you want to oppose another party's motion to dismiss your. Web by following these guidelines, you can respond effectively to any motion and significantly impact the outcome of your case. Web you can use this template for opposing most motions. Web a sample response to a motion to dismiss a retaliation claim based on requesting disability. If you are responding a motion to dismiss or motion for summary.
Web A Sample Response To A Motion To Dismiss A Retaliation Claim Based On Requesting Disability.
If you are responding a motion to dismiss or motion for summary. Web you can use this template for opposing most motions. Web this response and brief is filed by plaintiff in response to defendant’s motion to dismiss under federal rule of. Web learn how to defeat a motion to dismiss based on failure to state a claim by addressing the elements of the claim.
Before Filing This Document, Make An Appointment For.
Web by following these guidelines, you can respond effectively to any motion and significantly impact the outcome of your case. Web this packet provides general guidance about opposing a motion to dismiss. Motions help parties in a. Web motion—opposition to motion to dismiss (.pdf, 290 kb) (if you want to oppose another party's motion to dismiss your.




