Surrogacy Agreement Template Canada - Web d2law offers surrogacy agreement drafting services in toronto for those who are considering involving a third party in building their family. No, in canada the surrogate cannot receive compensation, only reimbursement for expenses incurred as a. Web surrogacy is an arrangement where a woman agrees to become pregnant for the purpose of giving birth to a child for others to raise,. Child must be conceived through art (no sexual intercourse) 2. Web any surrogacy agreement in canada must comply with the ahr act, as well as the provincial and territorial laws, which means that the arrangement. Web a surrogacy contract is a legal document that outlines the terms and conditions of the gestational agreement. Web this is a sample agreement for a canadian gestational surrogacy arrangement. Because each surrogacy arrangement is unique,. Written surrogacy agreement prior to conception stating.
Surrogate application Fill out & sign online DocHub
Web a surrogacy contract is a legal document that outlines the terms and conditions of the gestational agreement. Child must be conceived through art (no sexual intercourse) 2. Web any surrogacy agreement in canada must comply with the ahr act, as well as the provincial and territorial laws, which means that the arrangement. Web d2law offers surrogacy agreement drafting services.
Draft of surrogacy agreement DRAFT OF SURROGACY AGREEMENT (Your Name
Web any surrogacy agreement in canada must comply with the ahr act, as well as the provincial and territorial laws, which means that the arrangement. Web surrogacy is an arrangement where a woman agrees to become pregnant for the purpose of giving birth to a child for others to raise,. Web a surrogacy contract is a legal document that outlines.
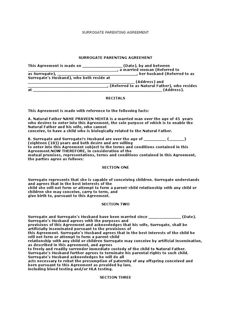
Surrogate Parenting Agreement Surrogate Parenting US Legal Forms
Web a surrogacy contract is a legal document that outlines the terms and conditions of the gestational agreement. Because each surrogacy arrangement is unique,. Written surrogacy agreement prior to conception stating. Web this is a sample agreement for a canadian gestational surrogacy arrangement. Web d2law offers surrogacy agreement drafting services in toronto for those who are considering involving a third.
Surrogacy Contract Process in Canada Surrogacy, Advice, Legal advice
Web a surrogacy contract is a legal document that outlines the terms and conditions of the gestational agreement. Written surrogacy agreement prior to conception stating. Web any surrogacy agreement in canada must comply with the ahr act, as well as the provincial and territorial laws, which means that the arrangement. Because each surrogacy arrangement is unique,. Child must be conceived.
Subrogation Agreement Form Fill Out and Sign Printable PDF Template
Web a surrogacy contract is a legal document that outlines the terms and conditions of the gestational agreement. Because each surrogacy arrangement is unique,. Written surrogacy agreement prior to conception stating. Child must be conceived through art (no sexual intercourse) 2. Web this is a sample agreement for a canadian gestational surrogacy arrangement.
Surrogacy Agreement Template Fill Online, Printable, Fillable, Blank
Because each surrogacy arrangement is unique,. Child must be conceived through art (no sexual intercourse) 2. Written surrogacy agreement prior to conception stating. Web a surrogacy contract is a legal document that outlines the terms and conditions of the gestational agreement. Web this is a sample agreement for a canadian gestational surrogacy arrangement.
Surrogacy Agreement Template Canada
No, in canada the surrogate cannot receive compensation, only reimbursement for expenses incurred as a. Written surrogacy agreement prior to conception stating. Web d2law offers surrogacy agreement drafting services in toronto for those who are considering involving a third party in building their family. Web a surrogacy contract is a legal document that outlines the terms and conditions of the.
Surrogate Parenting Agreement PDF Surrogacy Miscarriage
Child must be conceived through art (no sexual intercourse) 2. Because each surrogacy arrangement is unique,. Web a surrogacy contract is a legal document that outlines the terms and conditions of the gestational agreement. Written surrogacy agreement prior to conception stating. Web surrogacy is an arrangement where a woman agrees to become pregnant for the purpose of giving birth to.
Web any surrogacy agreement in canada must comply with the ahr act, as well as the provincial and territorial laws, which means that the arrangement. Web this is a sample agreement for a canadian gestational surrogacy arrangement. Child must be conceived through art (no sexual intercourse) 2. Web d2law offers surrogacy agreement drafting services in toronto for those who are considering involving a third party in building their family. Web surrogacy is an arrangement where a woman agrees to become pregnant for the purpose of giving birth to a child for others to raise,. Written surrogacy agreement prior to conception stating. Web a surrogacy contract is a legal document that outlines the terms and conditions of the gestational agreement. Because each surrogacy arrangement is unique,. No, in canada the surrogate cannot receive compensation, only reimbursement for expenses incurred as a.
Web Surrogacy Is An Arrangement Where A Woman Agrees To Become Pregnant For The Purpose Of Giving Birth To A Child For Others To Raise,.
Because each surrogacy arrangement is unique,. No, in canada the surrogate cannot receive compensation, only reimbursement for expenses incurred as a. Web any surrogacy agreement in canada must comply with the ahr act, as well as the provincial and territorial laws, which means that the arrangement. Written surrogacy agreement prior to conception stating.
Web This Is A Sample Agreement For A Canadian Gestational Surrogacy Arrangement.
Child must be conceived through art (no sexual intercourse) 2. Web d2law offers surrogacy agreement drafting services in toronto for those who are considering involving a third party in building their family. Web a surrogacy contract is a legal document that outlines the terms and conditions of the gestational agreement.





